深圳新闻

最新,每套房价+住宅配套出来了,945套安居房申购后续

编辑:彭桂红2017-07-05 07:18内容来源:安居深圳

新闻提要

7月3日,市住房保障署发布《关于锦鸿花园、富士嘉园、碧桂园阳光苑安居型商品房项目申购有关事项的通告》。2、锦鸿花园三房户型、富士嘉园仅接待符合认购三房队列的在册轮候家庭及领军人才现场看房。

原标题:

945套安居房开始配租!户型图+房价+住宅配套…你想知道的都在这!

  7月3日,市住房保障署发布《关于锦鸿花园、富士嘉园、碧桂园阳光苑安居型商品房项目申购有关事项的通告》。

  关于锦鸿花园、富士嘉园、碧桂园阳光苑安居型商品房项目申购有关事项的通告

  根据《深圳市保障性住房条例》、《深圳市安居型商品房建设和管理暂行办法》、《深圳市人才安居办法》、《深圳市安居型商品房轮候与配售办法》等有关规定,经深圳市住房和建设局批准,我署决定启动碧桂园阳光苑安居型商品房项目以及锦鸿花园、富士嘉园安居型商品房项目未售出房源的申请配售工作。现将有关事项通告如下:

  一、项目基本情况及配售价格

  (一)碧桂园阳光苑(240套)

  碧桂园阳光苑位于龙岗区坂田街道坂雪岗大道西面虎山路南面,该项目安居型商品房共240套,全部为两房户型,户型建筑面积约65.05㎡~68.93㎡。预计交付使用时间为2018年10月底。

  项目开发建设单位为深圳市茂兴置业有限公司,配售均价为23759元/㎡(按建筑面积计算,为毛坯房价格)。该项目室内未做精装修,交房标准见样板房。

  房源价格表

 

 

  总平面示意图

  住宅户型平面图

  购房现状说明

  

碧桂园阳光苑安居型商品房项目看房交通指引和注意事项

  碧桂园阳光苑与碧桂园荣汇花园户型(建筑面积约65平米)一致,经市住房保障署同意,我司将碧桂园阳光苑样板房设置在碧桂园荣汇花园1栋D座。需要现场看房的家庭,请认真仔细阅读以下事项:

  一、看房交通

  看房家庭可选择以下任意一种形式前往项目现场选房(碧桂园荣汇花园销售中心,地址:龙岗区坂田街道坂雪岗大道与中兴路交汇处):

  (一)乘坐地铁

  您的位置-地铁五号线(环中线)坂田站B出口-南行约200米至碧桂园荣汇花园销售中心

  (二)乘坐公交(请密切留意最新公共交通信息)

  您的位置-珠江旭景佳园公交站(M374路,333路,B668路,B742路,B815路,M221路,M300路)-碧桂园荣汇花园销售中心

  备注:从珠江旭景佳园公交站(坂雪岗大道东侧)南行约30米到碧桂园荣汇花园销售中心。从珠江旭景佳园公交站(坂雪岗大道西侧)北行约200米上天桥至碧桂园荣汇花园销售中心。

 

  (三)自驾车(注:现场停车位有限,建议公交出行)

  1.从罗湖出发:清平高速-布龙路-坂雪岗大道-碧桂园荣汇花园销售中心

  2.从福田出发:皇岗路-梅观路-南坪快速-坂雪岗大道-碧桂园荣汇花园销售中心

  3.从南山、宝安出发:南坪快速-坂雪岗大道-碧桂园荣汇花园销售中心

  4.从龙华出发:布龙路-坂雪岗大道-碧桂园荣汇花园销售中心

  5.从龙岗出发:水官高速-南坪快速-坂雪岗大道-碧桂园荣汇花园销售中心

  二、交通区位图

  三、注意事项

  (一)看房家庭须按约定的时间,凭申请人或配偶身份证、预约看房回执参加看房活动。

  (二)考虑到看房现场接待能力有限,为了营造顺畅、良好的看房环境,请每个看房家庭最多安排两人现场看房。从安全角度考虑,请看房家庭尽量不要携带老人、儿童。

  (三)为了保证看房家庭人身安全,请遵循现场工作人员统一安排,不要在看房现场随意走动,以免发生意外。

  如有任何疑问,欢迎来电咨询:(0755)-81328888

  深圳市茂兴置业有限公司

  2017年7月3日

  (二)锦鸿花园、富士嘉园

  锦鸿花园、富士嘉园安居型商品房项目共有705套未售出房源,其中建筑面积约65㎡的两房户型445套,建筑面积约85㎡的三房户型260套。深圳市住房和建设局已向项目开发建设单位收购全部房源,并作为未售出房源的出卖方。具体房源情况如下:

  1、锦鸿花园

  锦鸿花园位于光明新区公明街道南环大道和长春南路交汇处,原开发建设单位为深圳市福田房地产有限公司,该项目未售出房源454套。

  其中两房445套,户型建筑面积约63.75㎡~65.49㎡;三房9套,户型建筑面积约84.06㎡~86.81㎡。

  项目配售均价为4918元/㎡(按建筑面积计算,含装修)。该项目于2016年4月竣工备案,预计2017年底签订买卖合同,认购家庭在购房手续办理完成后,即可办理交付手续。该项目交房标准见样板房。

  房源价格表

 

 

 

  总平面示意图

  住房户型示意图

  购房现状提示

  锦鸿花园安居型商品房项目

  看房交通指引和注意事项

  锦鸿花园已交付入住,以网上看房为主,需要现场看房的家庭,请认真仔细地阅读以下事项:

  一、看房交通

  看房家庭可选择以下任意一种形式前往项目现场看房(锦鸿花园7栋一楼,地址:光明新区公明街道南环大道和长春南路交汇处):

  (一)乘坐公交(请密切留意最新公共交通信息)

  乘坐B719、325、325B、630、635、882、M361、M337、M310、M284公交车至光明高级中学站→锦鸿花园看房现场。

  (二)自驾车(注:现场不提供停车位,建议公交出行)

  1、罗湖、福田、龙华区看房家庭

  福龙路—龙大高速(楼村出口)—南环大道—锦鸿花园看房现场。

  2、南山、宝安区看房家庭

  南光高速(塘尾出口)—根玉路—南环大道—锦鸿花园看房现场

  二、交通区位图

  三、注意事项

  (一)看房人须按约定的时间,凭申请人或配偶身份证、预约看房回执看房。

  (二)考虑到看房现场接待能力有限,为了营造顺畅、良好的看房环境,减少对已入住家庭的影响,请每个看房家庭最多安排两人现场看房。从安全角度考虑,请尽量不要携带老人、儿童。

  (三)为了保证看房人人身安全,请遵循现场工作人员统一安排,不要在看房现场随意走动,以免发生意外。

  (四)三房户型仅接待符合认购三房队列的在册轮候家庭及领军人才现场看房。

  深圳市住房保障署

  2017年7月3日

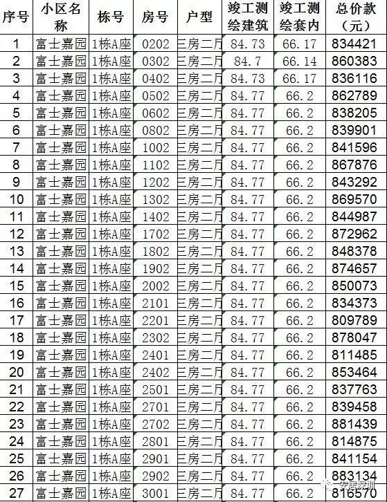
  2、富士嘉园

  富士嘉园位于龙华区观澜高新科技园观盛四路,原开发建设单位为深圳市富士投资(集团)有限公司,该项目未售出 房源251套,全部为三房户型,户型建筑面积约84.70㎡~86.97㎡。

  项目配售均价为9170元/㎡(按建筑面积计算,为毛坯房价格)。

  该项目于2016年7月竣工备案,预计2017年底签订买卖合同,认购家庭在购房手续办理完成后,即可办理交付手续。该项目交房标准见样板房。

  房源价格表

 

 

 项目情况说明

  总平面图

  

户型图

 

 

 

 

 

 

 

 

  购房现状提示

 

  富士嘉园安居型商品房项目

  看房交通指引和注意事项

  富士嘉园已交付入住,以网上看房为主,需要现场看房的家庭,请认真仔细地阅读以下事项:

  一、看房交通

  看房家庭可选择以下任意一种形式前往项目现场看房(富士嘉园2栋C座一楼33号商铺,地址:龙华区观澜高新科技园观盛四路):

  (一)乘坐公交(请密切留意最新公共交通信息)

  看房家庭可乘坐公交到达指定站点下车,步行至富士嘉园看房现场。指定公交站点如下:

  日海通讯站(E4路)、泰豪科技站(B731或M226)、致君制药站(M289)、市边检站基地站(328、M339或M228)。

  (二)龙华有轨电车

  站点:高新区站、高新区东站

  (三)自驾车(注:现场不提供停车位,建议公交出行)

  梅观快速至“华为”出口下→红绿灯左转沿五和大道北行→左转至澜清一路→第二个红绿灯左转至观盛四路→按指示牌进入富士嘉园。

  二、交通区位图

  三、注意事项

  (一)看房人须按约定的时间,凭申请人或配偶身份证、预约看房回执看房。

  (二)考虑到看房现场接待能力有限,为了营造顺畅、良好的看房环境,减少对已入住家庭的影响,请每个看房家庭最多安排两人现场看房。从安全角度考虑,请尽量不要携带老人、儿童。

  (三)为了保证看房人人身安全,请遵循现场工作人员统一安排,不要在看房现场随意走动,以免发生意外。

  (四)项目仅接待符合认购三房队列的在册轮候家庭及领军人才现场看房。

  深圳市住房保障署

  2017年7月3日

  二、配售对象

  本次安居型商品房的配售对象分为以下两类:

  (一)我市安居型商品房在册轮候人,在册轮候人名单详见深圳市住房保障署网站(http://www.szzfbzs.cn)。

  (二)符合以下条件的领军人才:

  1、在本通告发布前经深圳市人力资源和社会保障局认定的领军人才;

  2、符合安居型商品房申请条件;

  3、在本通告发布前向主管部门提交安居型商品房申请。

  三、配售方式

  (一)房源安排

  1、单身居民及二至三人家庭可认购上述项目建筑面积约65㎡的两房户型;

  2、领军人才、四人及以上家庭可认购上述项目建筑面积约65㎡的两房户型或建筑面积约85㎡的三房户型。

  (二)选房队列

  根据相关规定,结合本次房源安排及认购人(包括在册轮候人及领军人才)认购意向,选房队列分为A队列和B队列。A队列指认购建筑面积约65㎡两房的选房队列;B队列指认购建筑面积约85㎡三房的选房队列。认购人只能选择其中一个队列参与排序并认购相应的房源。

  (三)选房排位

  第一序位:领军人才申购家庭。符合安居型商品房申请条件的领军人才,无需参加安居型商品房轮候,其选房排位排在本次认购的所有轮候家庭之前。领军人才之间的选房排位按照提交安居型商品房申请时间的先后顺序确定。

  第二序位:根据我市安居型商品房轮候册排位,进入入围名单的在册轮候家庭。其中,包含残疾人或抚恤定补优抚对象的申购家庭,在入围名单中享有优先选房权利,其选房排位依据我市安居型商品房轮候册的轮候排序确定。

  第三序位:根据我市安居型商品房轮候册排位,进入候补入围名单的在册轮候家庭。其中,包含残疾人或抚恤定补优抚对象的申购家庭,在候补入围名单中享有优先选房权利,其选房排位依据我市安居型商品房轮候册的轮候排序确定。

  第四序位:根据我市安居型商品房轮候册排位,进入递补名单的在册轮候家庭,选房排位依据我市安居型商品房轮候册的轮候排序确定。

  四、配售程序

  (一)网上在线看房

  有意向认购的家庭可登陆以下网址,或扫描本通告末的二维码在线看房:

  1、碧桂园阳光苑在线看房网址:http://www.bgyygy.com

  2、锦鸿花园、富士嘉园在线看房网址:http://anju.szhome.com/720

  锦鸿花园、富士嘉园已交付入住,以网上看房为主。

  (二)预约现场看房

  在册轮候人现场看房需通过网上预约。网上预约流程为:进入深圳市住房保障署网站—>“安居型商品房”—>“预约看房”提交预约申请。网上提交预约申请的时间为2017年7月5日09:00至7月12日18:00(提交预约申请后须打印回执)。领军人才可凭本人身份证和安居型商品房申请备案回执直接到项目现场看房。

  申请人应当按照约定的看房时间前往项目现场看房,看房时间总计8天(2017年7月6日至2017年7月13日),具体看房交通指引和注意事项详见附件2。

  由于锦鸿花园、富士嘉园已交付使用,为减少对已入住家庭的影响,两个项目网上预约现场看房安排如下:

  1、每个看房家庭最多安排两人现场看房;

  2、锦鸿花园三房户型、富士嘉园仅接待符合认购三房队列的在册轮候家庭及领军人才现场看房。

  (三)网上认购

  有意申购上述安居型商品房项目的认购人,应进入深圳市住房保障署网站—>“安居型商品房”—> “认购申请”提交认购申请,并可在线打印《深圳市安居型商品房认购申请回执》。

  在册轮候的领军人才未提交人才证书等相关证明文件的,应当在网上认购截至日前到深圳市住房和建设局保障房业务办理大厅补交。

  认购家庭可在线提交同选房队列中一个或多个安居型商品房项目的认购意向,认购家庭选房时,只能按照认购意向选择对应的房源。

  网上认购时间为:2017年7月6日9:00至7月14日18:00。2017年7月14日18:00前未完成网上认购的,视为放弃认购。认购人需调整认购意向的,应当于7月14日18:00前,登录深圳市住房保障署网站自行变更,逾期不予调整。

  已签订其它安居型商品房项目认购协议书且仍有效的,将不接受此次认购申请。

  (四)认购资格核查结果公示

  认购结束后,深圳市住房保障署将及时核查认购人认购资格,核查结果将在深圳政府在线、深圳市住房和建设局网站、深圳市住房保障署网站公示5个工作日。认购人如需放弃本次认购,应当在公示期内到深圳市住房和建设局保障房业务办理大厅提交书面放弃认购申请,逾期不予受理。

  (五)公布认购名单和选房排位

  核查结果公示结束后,将按照1:2的比例确定入围和候补入围认购人名单。A队列中排名1~685位的认购人作为约65㎡两房户型住房的入围认购人,排名686~1370位的认购人作为候补入围认购人,1371位及以后的认购人作为递补认购人。B队列中排名1~260位的认购人作为约85㎡三房户型住房的入围认购人,排名261~520位的认购人作为候补入围认购人,521位及以后的认购人递补认购人。

  上述的入围名单、候补入围名单、递补名单以及选房排位将在深圳市住房保障署网站予以公布。

  (六)选房及签约

  认购名单及选房排位公布后,入围和候补入围认购人即可登录深圳市住房保障署网站,在线打印《选房通知书》。

  入围和候补入围认购人须按《选房通知书》规定时间到指定地点进行选房,并按照选房排位顺序依次选择认购意向对应的一套住房,对应房源选完即止。

  入围和候补入围认购人选房结束后,如有剩余房源,将由递补名单中的认购人按照实际排位顺序依次递补选房,剩余房源选完即止,相关事宜请关注深圳市住房保障署网站。

  认购人选定碧桂园阳光苑的,应按规定当场向开发建设单位缴纳认购定金人民币2万元,并签订认购协议书。

  认购人选定锦鸿花园、富士嘉园的,应按规定当场签订认购协议书,但无需缴纳认购定金。

  认购人已选定住房但未在当天选房结束前签订认购协议书的,视为放弃本次选房,其所选住房纳入次日待选房源。

  认购人应按照认购协议书的约定按时交纳购房款并签订安居型商品房买卖合同。未在规定时间内签订买卖合同的,视为放弃本次认购房源。

  锦鸿花园、富士嘉园项目未售出房源正在办理产权变更登记手续(由原开发建设单位变更至市住房和建设局),变更手续完成后,买卖双方方能签订买卖合同,具体时间另行通知。

  (七)选房结果和剩余房源信息公布

  选房期间,每天选房工作结束后,选房结果及剩余房源信息将于当日22:00在深圳市住房保障署网站予以公布。待全部选房工作结束以后,选房结果将适时在深圳市住房保障署网站予以公布。

  (八)剩余房源处理

  若本次选房结束后碧桂园阳光苑仍有剩余房源,开发建设单位将向市住房保障主管部门申请收购,收购的房源由市住房保障主管部门作为人才住房统一管理和分配。

  若本次选房结束后锦鸿花园、富士嘉园仍有剩余房源,将由市住房保障主管部门作为人才住房统一管理和分配。

  五、后续工作安排及项目销售咨询电话

  请认购人密切关注在深圳市住房保障署网站发布的配售后续工作安排等相关通知。如有调整事项及未尽事宜,将在深圳市住房保障署网站另行公告。

  碧桂园阳光苑安居型商品房咨询电话:0755-81328888;

  锦鸿花园、富士嘉园安居型商品房项目咨询电话:0755-23901599;

  咨询电话接听时间:周一到周五上午9:00—12:00,下午2:00—6:00。

  深圳市住房保障署

  2017年7月3日

  

相关新闻